struka(e): kemija
ilustracija
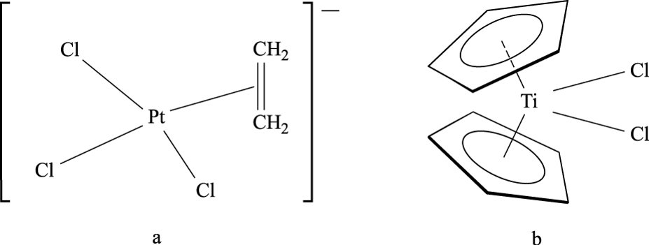
ORGANOMETALNI SPOJEVI – a) dihapto(etilen)-trikloroplatinat (II), b) bis(ciklopentadienil)diklorotitan
ilustracija
ORGANOMETALNI SPOJEVI – a) tetrakis(acetoksimerkuri)-metan, b) difenilživa

organometalni spojevi, organski spojevi u kojima je barem jedan od ugljikovih atoma izravno spojen s atomom metala. Prvi organometalni spoj, dietilcink, pripravio je 1849. E. Frankland, a do danas su priređeni organometalni spojevi gotovo svih metala. Oni se po fizikalnim i kemijskim svojstvima mogu vrlo razlikovati; neki su od njih plinovi ili kapljevine, ali većina ih je u čvrstom stanju. Svi su organometalni spojevi nestabilni na višim temperaturama, lako zapaljivi, djeluju toksično na žive organizme. Obično su jako reaktivni, pa se rabe u organskim sintezama (Grignardovi reagensi, litijevi alkilni spojevi), u novije doba i kao katalizatori u reakciji polimerizacije; tetraetilolovo mnogo je godina bilo nezamjenljiv antidetonator motornih benzina, organoživini spojevi primjenjuju se kao antibakterijska sredstva, a industrijsku primjenu imaju i organoaluminijevi i organosilicijevi spojevi.

Citiranje:

organometalni spojevi. Hrvatska enciklopedija, mrežno izdanje. Leksikografski zavod Miroslav Krleža, 2013. – 2025. Pristupljeno 27.12.2025. <https://enciklopedija.hr/clanak/organometalni-spojevi>.